Publikováno dne: 5.8.2025
Správná volba řezných podmínek je základem úspěchu. Jedná se o klíčový faktor, který přímo ovlivňuje vaší práci, a to konkrétně ekonomiku provozu, kvalitu finálního výrobku a životnost nástrojů a strojů. Zjistěte, co všechno řezné podmínky zahrnují a jak si je nastavit tak, abyste s výsledkem byli spokojení.

Řeznými podmínkami se rozumí zejména řezná rychlost, posuv a hloubka záběru . Optimalizací řezných podmínek zrychlíte práci, snížíte opotřebení nástrojů, a tím mimo jiné docílíte nižších nákladů na výrobu. Například příliš vysoká řezná rychlost vede k přehřívání a rychlému otupení břitu nástroje, čímž se zkracuje jeho životnost. Naopak příliš nízká řezná rychlost znamená neefektivní práci a zbytečně dlouhý výrobní čas. U některých materiálů navíc může vést ke vzniku nárůstku na břitu a zhoršení kvality povrchu.
Posuv určuje, jak rychle se nástroj pohybuje materiálem. Je to parametr s největším vlivem na kvalitu povrchu a rychlost práce . Hloubka záběru zase ovlivňuje množství odebraného materiálu a volíte ji podle typu práce. Všechny parametry je třeba nastavovat ve vzájemné souvislosti . Obecně platí, že čím tvrdší a houževnatější materiál obrábíte, tím nižší řeznou rychlost musíte zvolit. Naopak měkčí materiály snesou vyšší rychlosti. Dále, čím menší průměr nástroje, tím vyšší otáčky lze použít – malý vrták nebo frézka musí běžet rychleji, aby dosáhla stejné obvodové rychlosti jako větší nástroj.
Optimální řezné podmínky představují takové nastavení, při kterém dosáhnete dokonalých výsledků za co nejnižší výrobní náklady při nejkratším možném výrobním čase .
Tvrdé kovy vyžadují nižší řeznou rychlost než měkké materiály (dřevo či hliník), jinak hrozí přehřátí nástroje. Tvrdé dřevo (dub, buk) klade větší odpor, proto je potřeba nižší řezné rychlosti a posuvu než u měkkého dřeva (smrk, borovice). Velkoplošné materiály, jako jsou dřevotřískové desky, lamino či MDF , obsahují lepidla a abrazivní částice, které způsobují velmi rychlé opotřebení břitu, potřebují proto nástroje se specifickou geometrií zubů a často se u nich volí jiné řezné rychlosti než u masivního dřeva.
Nástrojová ocel (No) se používá u levnějších pilových kotoučů , typicky pro řezání palivového dřeva . Má nižší odolnost vůči teplotě, a proto vyžaduje nižší řezné rychlosti. Zatímco nástroje ze slinutého karbidu (SK) umožňují mnohem vyšší rychlosti a posuvy. Slinutý karbid je standardem pro profesionální nástroje. Materiál je důležitý pro všechny typy nástrojů nejen pilové kotouče.
Úhly břitu a tvar nástroje ovlivňují tvorbu třísky. U kotoučů a pilových pásů potřebujete znát také počet zubů. Méně zubů = větší zubová mezera pro odvod třísek, což je ideální pro rychlé, podélné řezání masivu. Více zubů znamená, že každý zub odebírá menší třísku, což vede k čistšímu a jemnějšímu řezu, ideálnímu pro příčné řezání nebo řezání lamina. Ostří si hlídejte u všech nástrojů. Například vrták s ostrým úhlem hrotu lépe proniká do měkkých materiálů, ale v tvrdých by se rychleji otupil.

Menší hobby stroje mívají omezené otáčky , naopak robustní CNC stroje zvládnou vysoké rychlosti a posuvy při zachování stability. Nedostatečná tuhost stroje, upínače nástroje nebo obrobku je zdrojem vibrací, které jsou nepřítelem číslo jedna – zhoršují kvalitu povrchu, ničí rozměrovou přesnost a zkracují životnost břitu nástroje.
Při hrubování je cílem co nejrychlejší úběr materiálu s tím, že kvalita povrchu je druhořadá. Při dokončovacích pracích zase chcete dosáhnout perfektního povrchu a vysoké rozměrové přesnosti, musíte tedy zvolit malou hloubku a šířku řezu v kombinaci s vyššími otáčkami a nižším posuvem.
Pro nastavení optimálních řezných podmínek doporučujeme vycházet z údajů výrobce nástroje . Kvalitní nástroje mají v katalogu nebo přímo na obalu uvedeny doporučené hodnoty řezné rychlosti a posuvu pro různé materiály. Tyto hodnoty zohledňují materiál nástroje i geometrii a jsou dobrým výchozím bodem. Dále existují strojírenské tabulky a nomogramy , které pro standardní nástroje uvádějí orientační řezné podmínky.
Při hledání optimálních řezných podmínek se v praxi osvědčil následující postup:
Využít můžete i naši nástrojovou poradnu , kde dohledáte potřebné informace. Zkušení řemeslníci často pracují i se zvukem stroje . Jakákoliv náhlá změna zvuku, pískání nebo znatelné vibrace signalizují problém. Nebojte se experimentovat na odřezcích materiálu . Několik minut testování a ladění se vám mnohonásobně vrátí v podobě kvalitnějších výrobků, delší životnosti nástrojů a efektivnějšího provozu.
Zde řezná rychlost závisí na průměru obrobku a otáčkách . Například při průměru 100 mm a otáčkách 95 ot/min je obvodová rychlost asi 30 m/min. Rychlořezná ocel (HSS) se při soustružení oceli používá zhruba do 20–30 m/min, zatímco tvrdokovové břitové destičky umožňují u téhož materiálu rychlosti i přes 100 m/min. Posuv při soustružení volte podle požadované drsnosti a výkonu stroje . Pro hrubování oceli lze použít posuv třeba 0,3–0,5 mm/ot a větší hloubku řezu, při jemném soustružení na čisto se posuv snižuje i na 0,05–0,1 mm/ot a hloubka řezu pod 0,5 mm.
TIP: Na Pilana Market najdete soustruhy na dřevo , které obvykle dosahují vyšších otáček (i několik tisíc ot/min) pro malé průměry.
Frézování je specifické tím, že frézka má více břitů a rotuje – dochází k přerušovanému řezu. Řezná rychlost se vztahuje k průměru frézky a jejím otáčkám podobně jako u soustruhu. Rychlořezná ocel se u frézek (kotoučových nebo stopkových ) používá hlavně na pomalejších strojích nebo pro jednodušší operace. Doporučené řezné rychlosti HSS frézek při obrábění oceli bývají jen desítky m/min (například kolem 20–40 m/min). Naproti tomu tvrdokovové frézy (vyměnitelné destičky či monolitní karbid) umožňují u ocelí běžně 100–200 m/min a u hliníku i více.
To se odráží i v praxi. CNC stroje osazené SK nástroji obrábějí rychleji a produktivněji. Při frézování dřeva a plastů se téměř výhradně používají nástroje se slinutým karbidem nebo s diamantovým ostřím (PKD). U ručních horních frézek na dřevo nejsou výjimkou otáčky 20–30 tisíc ot/min, aby frézka při malém průměru (5–10 mm) dosáhla potřebné obvodové rychlosti pro čistý řez. U kovů je volba posuvu na zub dána průměrem a počtem břitů frézy a houževnatostí materiálu.


Vrtání je velmi častá operace jak v kovovýrobě, tak při hobby práci se dřevem. Optimální řezné podmínky při vrtání závisí na průměru vrtáku, materiálu a také hloubce otvoru . Platí jednoduché pravidlo: menší vrták = vyšší otáčky, větší vrták = nižší otáčky . Měkčí materiály (dřevo, plasty, hliník) lze vrtat vyšší rychlostí než tvrdé kovy. Každá vrtačka s regulací otáček toho využívá – pro průměr 3 mm zvolte rychlé otáčky, pro průměr 20 mm naopak pomalé.
Na Pilana Market najdete různé typy vrtáků ; každý typ má výrobcem doporučené otáčky dle průměru a materiálu . Při vrtání hlubokých děr se doporučuje zmenšit řeznou rychlost i posuv, protože odvod třísek a tepla je obtížnější. Zároveň je vhodné provádět tzv. vyčišťovací cykly (vysunutí vrtáku z díry každých pár centimetrů) k vynesení třísek a ochlazení nástroje. U vrtání do oceli navíc jednoznačně pomůže chlazení kapalinou , které může výrazně prodloužit trvanlivost ostří.
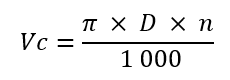
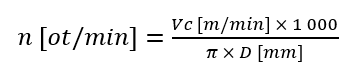
Použít můžete tabulky nebo jí vypočítat vzorcem:

Protože na stroji nastavujete otáčky (n) v otáčkách za minutu (ot/min), je klíčové umět doporučenou řeznou rychlost (Vc) správně přepočítat. K tomu slouží základní vzorec, kde D je průměr nástroje v milimetrech:
![n [ot/min]=(Vc [m/min] × 1 000)/(? × D [mm])](http://cdn.pilanamarket.cz/data/user-content/clanky/BLOG 042_4.png)